技术文章您现在的位置:首页 > 技术文章 > 涂层抗氯离子渗透性试验装置的试板制备及测试方法

涂层抗氯离子渗透性试验装置的试板制备及测试方法

更新时间:2021-03-25   点击次数:2247次
  涂层抗氯离子渗透性试验装置是测定蒸馏水中氯离子含量的试验装置,通过程序控制模拟小于到暴雨的水流量测试砂基透水砖的透水速率测试或是有相同试验要求的模拟试验。
  一、试板制备实验步骤:
  1、试验用涂层片的制作采用150mm×150mm的涂料细度纸作增强材料
  2、将其平铺于玻璃板上,将试验的配套涂料依照使用说明书的要求
  3、先涂底层涂料一道,再涂中间层涂料两道,面层涂料一道。每一道涂膜施涂后,应立即将细度纸掀离玻璃板并悬挂在绳子上,经24h再涂下一道。
  4、如此反复施涂,用湿膜规控制涂料形成的涂层干膜总厚度250-300um。
  5、按此方法共制作3张涂层片。制成后,悬挂在室内自然养护28d,再用磁性测厚仪测量涂层片的厚度供试验。(根据涂料的干性而定)。
  二、测试方法
  1、将制得的活动涂层片剪成直径为60mm的圆形试件,进行抗氯离子渗透性试验。
  2、使试件涂漆的一面朝向3%NaCl溶液(食盐水)(可用海水、江水或与施工现场相近浓度的氯化钠溶液),细度纸的另一面朝向蒸馏水,共用3个组装置。
  3、置于室内常温条件下进行试验,经过30d后,用CL-UIII混凝土氯离子测定仪测定蒸馏水中的氯离子含量。
  三、试验结果表示
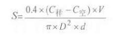
  按下式计算氯离子的渗透量:


       式中:
  S——氯离子渗透量,mg/(cm2·d);
  C样——3%NaCl溶液渗透到蒸馏水中氯离子浓度,mg/L;
  C空——空白试验蒸馏水中氯离子浓度,mg/L;
  V——蒸馏水体积,mL;
  D——漆膜与NaCl溶液或水接触面直径,mm;
  d——试验天数。

上海夕月实验仪器有限公司 ©2025 版权所有   备案号:京ICP证000000号  总访问量:136583    管理登陆

工厂地址:上海浦东新区建韵路568号